Все закончилось!!!! Сибирские команды показали себя очень достойно и профессионально, не буду выделять одних и забывать про других все молодцы!!!! Красноярск это настоящие спортсмены и бойцы вы молодцы, и в сложном турнире проявили себя как настоящие профи Ура!!!!
Все закончилось!!!! Сибирские команды показали себя очень достойно и профессионально, не буду выделять одних и забывать про других все молодцы!!!! Красноярск это настоящие спортсмены и бойцы вы молодцы, и в сложном турнире проявили себя как настоящие профи Ура!!!!
Ещё 3 шт
Ещё 4
ССМ взяли рыбу!!!! Парни вперёд!!!!
Кемерово взяли две рыбы в зоне Б а судьи не внесли в вечерний протокол.......
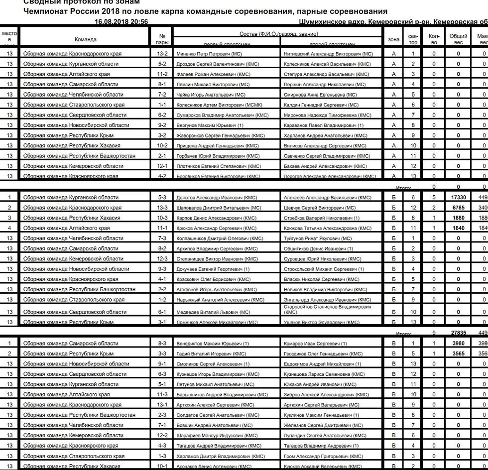
Протакол
Сектор Новосибирской сборной
Спасибо Палычу за протокол
В-2 замена спортсменов
Сектор Б12 рыба 3300
Начали!!!!
Построение
Сборная Кемерово встречаем Сибиряков!!!!!
Сборная Краснодара!!!!
Ага 6 уже спать поехал
Одного не хватает
Новосибирск приехал вот они Красавцы!!!!
У карпфишеров праздник
Саш ты там
Как погода
Сборная Кургана зарегистрировалась!!!!
Приехали Краснодар
Приехала сборная Республики Хакасия!
Новосибирск в дороге
Красноярск приехал